The HAMSTAD benchmarks are used to test and verify the implementation of a standardized physical transport model using typical use cases for hygrothermal simulation. The benchmark cases are all one-dimensional problems.
Details on validation can be found in the following publication:
Luisa Sontag, Andreas Nicolai, Stefan Vogelsang,
Validation of the solver implementation of the hygrothermal simulation program DELPHIN,
2013, Qucosa, urn:nbn:de:bsz:14-qucosa-128968
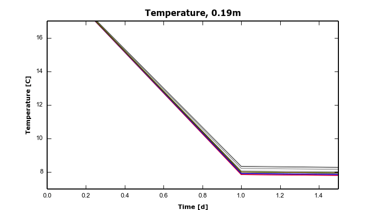
The grey lines in the diagrams show the anonymized results of other hygrothermal simulation tools that have calculated the HAMSTAD benchmark.
HAMSTAD Benchmark 1












HAMSTAD Benchmark 2






HAMSTAD Benchmark 3











HAMSTAD Benchmark 4
















HAMSTAD Benchmark 5



